Lompat ke konten Lompat ke sidebar Lompat ke footer

Cara Menghitung Jari Jari Tabung : Rumus Volume Tabung Materi Tvri 15 Mei Kelas 6 Sd / Tabung memiliki 3 sisi, yaitu alas, atap, selimut.

Cara Menghitung Jari Jari Tabung : Rumus Volume Tabung Materi Tvri 15 Mei Kelas 6 Sd / Tabung memiliki 3 sisi, yaitu alas, atap, selimut.. Cara menghitung volume tabung bisa dilakukan dengan rumus. Maka volume tabung tersebut dapat dihitung dengan cara sebagai berikut. V = π x r^2 x t. 4 rumus jitu mengelola keuangan untuk kamu generasi milenial. Luas alas tabung sendiri berbentuk lingkaran sehingga memiliki rumus yang sama dengan rumus luas lingkaran.

Rumus tersebut sangat tepat untuk digunakan pada balok, kubus, dan juga tabung. Volume tabung adalah luas alas (salah satu lingkaran) dikalikan dengan tinggi. V = π.r 2.t = (22/7).(10×10).(7) = 2.200 cm 3 jadi volume tabung tersebuat adalah 2.200 cm 3. Adapun rumus perhitungannya adalah sbb : Cara menghitung volume tabung bisa dilakukan dengan rumus.

Ruang Tabung Penjelasan Ciri Beserta Contoh Soal Dan Rumusnya
Ruang Tabung Penjelasan Ciri Beserta Contoh Soal Dan Rumusnya from ruangguru.co
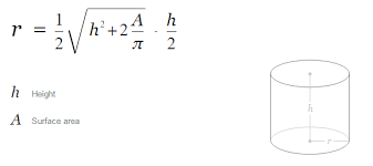
Rumus mencari jari tabung jika luas permukaan dan tinggi nya diketahui. Volume = 70 x 70 x 1.400 x (22/7) Rumus keliling alas tabung = 2 x π x r; = 3.14 x ( jari jari x jari jari ) = 3.14 x ( 20 x 20 ) = 1.256 cm 2. Kedua lingkaran tersebut disebut sebagai alas dan tutup tabung serta persegi panjang yang menyelimutinya disebut dengan selimut tabung. Cara menghitung volume tabung bisa dilakukan dengan rumus. Volume tabung adalah luas alas (salah satu lingkaran) dikalikan dengan tinggi. Maka dengan menerapkan rumus di atas, perhitungannya akan menjadi:

Tabung memiliki bentuk alas (bagian bawah) dan tutup (bagian atas) berupa lingkaran seperti yang tampak pada gambar berikut :

Anda memerlukan kalkulator untuk menghitung ini karena jawabannya tidak bulat. Berikut adalah rumus volume tabung. Rumus volume tabung = π x r 2 x t; Luas alas tabung sendiri berbentuk lingkaran sehingga memiliki rumus yang sama dengan rumus luas lingkaran. Tabung memiliki alas (bagian bawah) dan atap (bagian atas) berbentuk lingkaran. Kalikan luas lingkaran dengan tinggi. Rumus luas alas = luas lingkaran = π x r 2; Contoh soal saya ambil dari soal yang penanya tulis dalam komentar. Tabung tersebut diisi dengan air sehingga tinggi permukaannya 15 cm dari dasar tabung. V = π x r^2 x t. Tabung memiliki 2 buah rusuk, yaitu yang melingkari alas dan atap yang berbentuk lingkaran. Maka dengan menerapkan rumus di atas, perhitungannya akan menjadi: ♥ luas permukaan tabung = 2 luas lingkaran + luas selimut = 2.22/7.14.14 + 1.760 = 1232 +1760 =2.992 cm 2.

Tabung tersebut diisi dengan air sehingga tinggi permukaannya 15 cm dari dasar tabung. Rumus mencari jari tabung jika luas permukaan dan tinggi nya diketahui. Kedua lingkaran tersebut disebut sebagai alas dan tutup tabung serta persegi panjang yang menyelimutinya disebut dengan selimut tabung. Luas selimut tabung menunjuk pada bagian tabung berupa sisi lengkung pada bagian sampping. Tabung merupakan bangun ruang 3 dimensi yang terbentuk oleh 2 buah lingkaran yang sejajar, serta sebuah persegi panjang yang mengelilingi kedua lingkaran tersebut.

Rumus Menghitung Volume Tabung Contoh Soal Pembahasannya Catatan Matematika Com
Rumus Menghitung Volume Tabung Contoh Soal Pembahasannya Catatan Matematika Com from 2.bp.blogspot.com
Luas alas tabung sendiri berbentuk lingkaran sehingga memiliki rumus yang sama dengan rumus luas lingkaran. V = π x r x r x t. Tabung memiliki 2 buah rusuk, yaitu yang melingkari alas dan atap yang berbentuk lingkaran. Karena rumus cara menghitung volume tabung hanya terdiri dari tiga item saja, yaitu phi atau yang artinya adalah konstanta, dan jari jari lingkatan bagian alas juga tinggi tabung. Tabung disusun dari 2 lingkaran yang sama luas dan dihubungkan dengan sebuah persegi atau persegi panjang yang disusun mengelilingi lingkaran. Untuk menghitung rumus volume tangki tabung, anda bisa menggunakan rumus berikut ini: Rumus luas alas = luas lingkaran = π x r 2; 4 rumus jitu mengelola keuangan untuk kamu generasi milenial.

Cara menghitung volume tabung bisa dilakukan dengan rumus.

Maka volume tabung tersebut dapat dihitung dengan cara sebagai berikut. 4 rumus jitu mengelola keuangan untuk kamu generasi milenial. Tabung memiliki 2 buah rusuk, yaitu yang melingkari alas dan atap yang berbentuk lingkaran. Rumus luas alas = luas lingkaran = π x r 2; Cara menghitung volume gabungan (+contoh soal dan pembahasan) rumus luas selimut tabung. 14.20 = 1.760 cm 2. ♥ luas selimut tabung = keliling alas x tinggi tabung luas selimut tabung = 2∏ rx t =2. Setelah kita bisa menghitung luas lingkaran yang dijadikan alas sebuah tabung, maka kita bisa menghitung volume sebuah tabung. Contoh soal saya ambil dari soal yang penanya tulis dalam komentar. Untuk menghitung rumus volume tangki tabung, anda bisa menggunakan rumus berikut ini: Rumus keliling alas tabung = 2 x π x r; Tabung tidak memiliki titik sudut. Tabung tersebut diisi dengan air sehingga tinggi permukaannya 15 cm dari dasar tabung.

Untuk menghitung rumus volume tangki tabung, anda bisa menggunakan rumus berikut ini: T = 5 cm ls = 157 cm. 14.20 = 1.760 cm 2. Adapun rumus perhitungannya adalah sbb : Tabung merupakan bangun ruang 3 dimensi yang terbentuk oleh 2 buah lingkaran yang sejajar, serta sebuah persegi panjang yang mengelilingi kedua lingkaran tersebut.

Volume Tabung Dan Penjelasan Konsep Tabung Serta Rumus Yang Perlu Diketahui Kumparan Com
Volume Tabung Dan Penjelasan Konsep Tabung Serta Rumus Yang Perlu Diketahui Kumparan Com from blue.kumparan.com
Contoh perhitungan volume tabung (silinder) untuk membantu memahami cara menghitung volume tabung, berikut. Tabung memiliki 3 sisi, yaitu alas, atap, selimut. Tabung disusun dari 2 lingkaran yang sama luas dan dihubungkan dengan sebuah persegi atau persegi panjang yang disusun mengelilingi lingkaran. ♥ luas selimut tabung = keliling alas x tinggi tabung luas selimut tabung = 2∏ rx t =2. Dari contoh, r = 6, 69 = 2, 59 {\displaystyle r= {\sqrt {6,69}}=2,59}. Tabung tidak memiliki titik sudut. Rumus mencari jari tabung jika luas permukaan dan tinggi nya diketahui. Cara menghitung volume tabung bisa dilakukan dengan rumus.

Luas alas tabung sendiri berbentuk lingkaran sehingga memiliki rumus yang sama dengan rumus luas lingkaran.

Rumus volume tabung = π x r 2 x t; Rumus tersebut sangat tepat untuk digunakan pada balok, kubus, dan juga tabung. Πr² t, atau dibaca sebagai luas alas kali tinggi nya. Maka volume tabung tersebut dapat dihitung dengan cara sebagai berikut. 14.20 = 1.760 cm 2. Tabung terdiri dari beberapa unsur, yaitu: Rumus keliling alas tabung = 2 x π x r; V = π x r^2 x t. 4 rumus jitu mengelola keuangan untuk kamu generasi milenial. Seperti apa rumus volume tabung? Tabung merupakan bangun ruang 3 dimensi yang terbentuk oleh 2 buah lingkaran yang sejajar, serta sebuah persegi panjang yang mengelilingi kedua lingkaran tersebut. Tabung mempunyai 3 sisi dan juga 2 rusuk. Contoh soal saya ambil dari soal yang penanya tulis dalam komentar.

Posting Komentar untuk "Cara Menghitung Jari Jari Tabung : Rumus Volume Tabung Materi Tvri 15 Mei Kelas 6 Sd / Tabung memiliki 3 sisi, yaitu alas, atap, selimut."